Упр.752 ГДЗ Макарычев Миндюк 9 класс (Углубленный) (Алгебра)
Решение #1

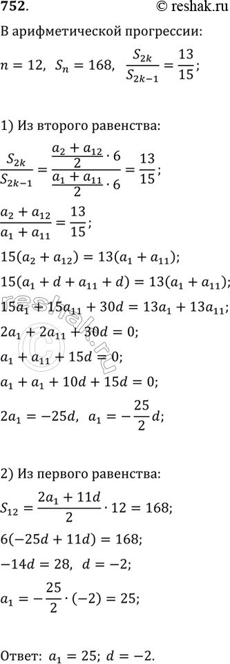
Рассмотрим вариант решения задания из учебника Макарычев, Миндюк, Нешков 9 класс, Просвещение:
752. В арифметической прогрессии, содержащей 12 членов, сумма членов равна 168. Найдите первый член и разность прогрессии, если известно, что сумма членов с чётными номерами относится к сумме членов с нечётными номерами как 13 : 15.
*размещая тексты в комментариях ниже, вы автоматически соглашаетесь с пользовательским соглашением