Упр.769 ГДЗ Макарычев Миндюк 9 класс (Углубленный) (Алгебра)
Решение #1

Рассмотрим вариант решения задания из учебника Макарычев, Миндюк, Нешков 9 класс, Просвещение:
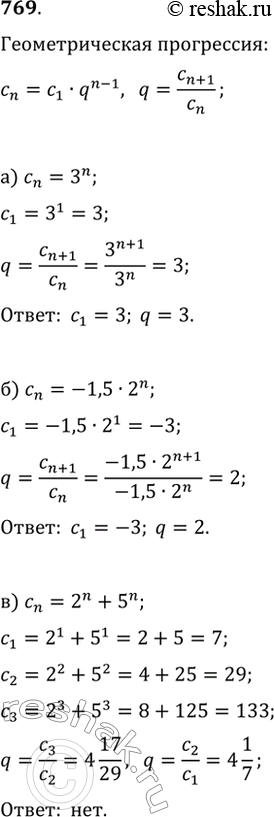
769. Является ли геометрической прогрессией последовательность (c_n), заданная формулой:
а) c_n=3^n; б) c_n=-1,5·2^n; в) c_n=2^n+5^n?
При положительном ответе укажите первый член и знаменатель прогрессии.
*размещая тексты в комментариях ниже, вы автоматически соглашаетесь с пользовательским соглашением