Упр.78 ГДЗ Никольский Потапов 9 класс (Алгебра)

Решение #1

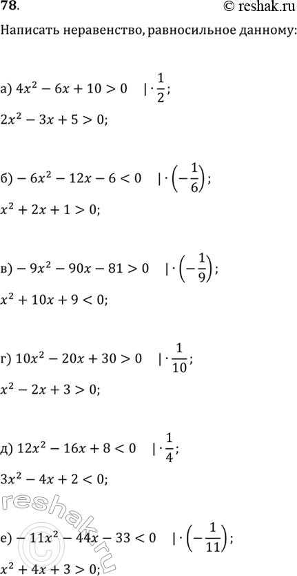
Изображение 78. Разделив правую и левую части неравенства на общий делитель свободного члена и коэффициентов при х^2 и при х, напишите неравенство, равносильное данному:а)...

Решение #2

Изображение 78. Разделив правую и левую части неравенства на общий делитель свободного члена и коэффициентов при х^2 и при х, напишите неравенство, равносильное данному:а)...

Рассмотрим вариант решения задания из учебника Никольский, Потапов 9 класс, Просвещение:
78. Разделив правую и левую части неравенства на общий делитель свободного члена и коэффициентов при х^2 и при х, напишите неравенство, равносильное данному:
а) 4x^2-6x+10>0
б) (-6x)^2-12x-6<0
в)-9x^2-90x-81>0
г) 10x^2-20x+30>0
д) 12x^2-16x+8<0
е)-11x^2-44x-33<0
*Цитирирование задания со ссылкой на учебник производится исключительно в учебных целях для лучшего понимания разбора решения задания.
*размещая тексты в комментариях ниже, вы автоматически соглашаетесь с пользовательским соглашением