Упр.782 ГДЗ Колягин Ткачёва 7 класс (Алгебра)
Решение #1

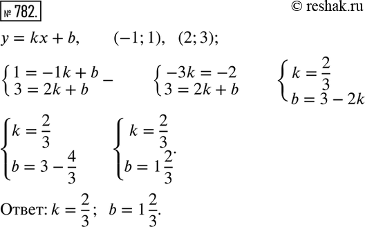
Рассмотрим вариант решения задания из учебника Колягин, Ткачёва, Фёдорова 7 класс, Просвещение:
782. Дана функция y=kx+b. При каких значениях k и b график функции проходит через точки (-1;1) и (2;3)?
*размещая тексты в комментариях ниже, вы автоматически соглашаетесь с пользовательским соглашением