Упр.786 ГДЗ Макарычев Миндюк 9 класс (Углубленный) (Алгебра)
Решение #1

Рассмотрим вариант решения задания из учебника Макарычев, Миндюк, Нешков 9 класс, Просвещение:
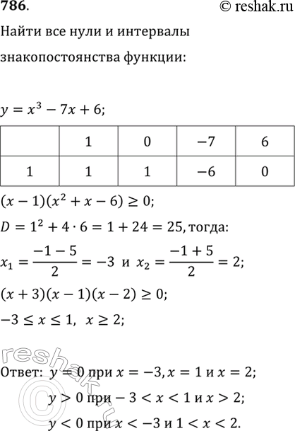
786. Найдите нули функции y=x^3-7x+6 и интервалы её знакопостоянства.
*размещая тексты в комментариях ниже, вы автоматически соглашаетесь с пользовательским соглашением