Упр.825 ГДЗ Макарычев Миндюк 9 класс (Углубленный) (Алгебра)
Решение #1

Рассмотрим вариант решения задания из учебника Макарычев, Миндюк, Нешков 9 класс, Просвещение:
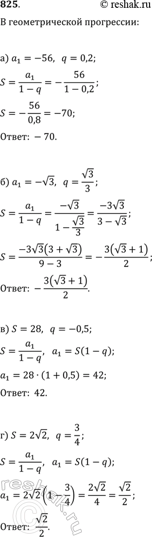
825. В бесконечно убывающей геометрической профессии (a_n) найдите:
а) S, если a_1=-56, q=0,2; в) a_1, если S=28, q=-0,5;
б) S, если a_1=v3, q=v3/3; г) a_1, если S=2v2, q=3/4.
*размещая тексты в комментариях ниже, вы автоматически соглашаетесь с пользовательским соглашением