Упр.837 ГДЗ Макарычев Миндюк 9 класс (Углубленный) (Алгебра)
Решение #1

Рассмотрим вариант решения задания из учебника Макарычев, Миндюк, Нешков 9 класс, Просвещение:
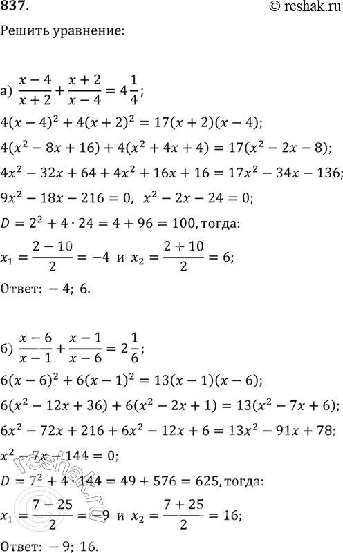
837. Решите уравнение:
а) (x-4)/(x+2)+(x+2)/(x-4)=4 1/4;
б) (x-6)/(x-1)+(x-1)/(x-6)=2 1/6.
*размещая тексты в комментариях ниже, вы автоматически соглашаетесь с пользовательским соглашением