Упр.870 ГДЗ Колягин Ткачёва 11 класс (Алгебра)
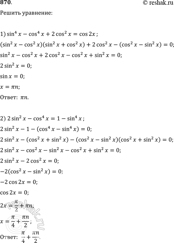
Решение #1
Решение #2

Рассмотрим вариант решения задания из учебника Колягин, Ткачёва, Фёдорова 11 класс, Просвещение:
870. 1) sin4 x - cos4x + 2cos2x = cos 2x;
2) 2sin2x - cos4x = 1 - sin4x.
*размещая тексты в комментариях ниже, вы автоматически соглашаетесь с пользовательским соглашением