Упр.883 ГДЗ Никольский Потапов 9 класс (Алгебра)

Решение #1

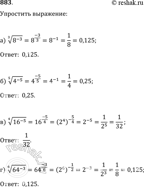
Изображение 883. а) (8^(-3))^(1/3);   б) (4^(-5))^(1/5);   в) (16^(-5))^(1/4);   г) (64^(-3))^(1/6);д) (3^(-5))^(1/10);   е) (4^(-6))^(1/12);   ж) (12^(-3))^(1/6);   з)...
Дополнительное изображение

Рассмотрим вариант решения задания из учебника Никольский, Потапов 9 класс, Просвещение:
883. а) (8^(-3))^(1/3); б) (4^(-5))^(1/5); в) (16^(-5))^(1/4); г) (64^(-3))^(1/6);
д) (3^(-5))^(1/10); е) (4^(-6))^(1/12); ж) (12^(-3))^(1/6); з) (3^(-4))^(1/8).
*Цитирирование задания со ссылкой на учебник производится исключительно в учебных целях для лучшего понимания разбора решения задания.
*размещая тексты в комментариях ниже, вы автоматически соглашаетесь с пользовательским соглашением