Упр.9.4 ГДЗ Мордкович Семенов 9 класс (Алгебра)
Решение #1

Рассмотрим вариант решения задания из учебника Мордкович, Семенов, Александрова 9 класс, Бином:
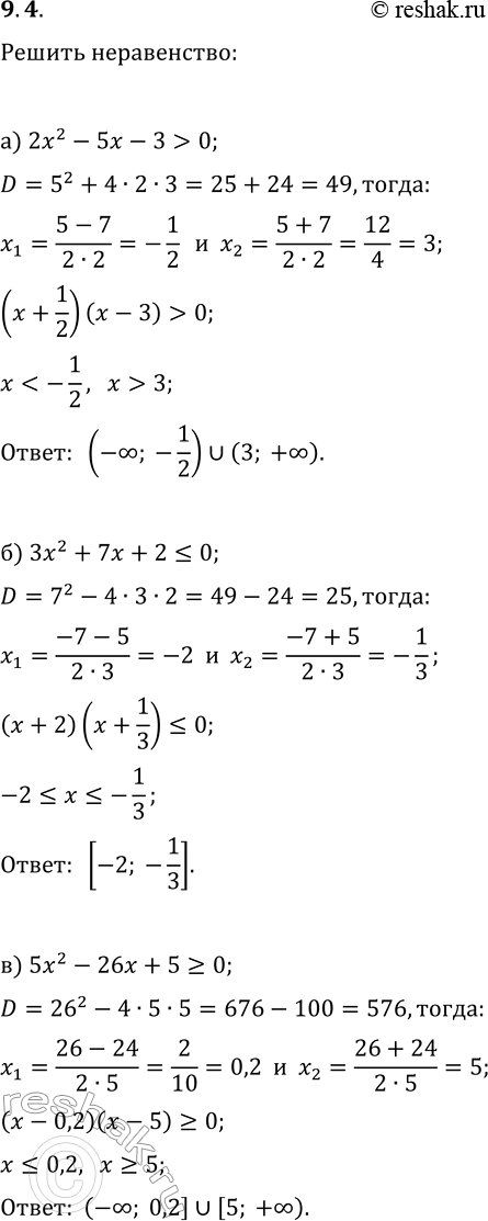
9.4. Решите неравенство:
а) 2x^2-5x-3>0; г) 2x^2-7x-15<0;
б) 3x^2+7x+2?0; д) 3x^2+13x-10?0;
в) 5x^2-26x+5?0; е) 4x^2-x-3<0.
*размещая тексты в комментариях ниже, вы автоматически соглашаетесь с пользовательским соглашением