Упр.91 ГДЗ Макарычев Миндюк 9 класс (Углубленный) (Алгебра)
Решение #1

Рассмотрим вариант решения задания из учебника Макарычев, Миндюк, Нешков 9 класс, Просвещение:
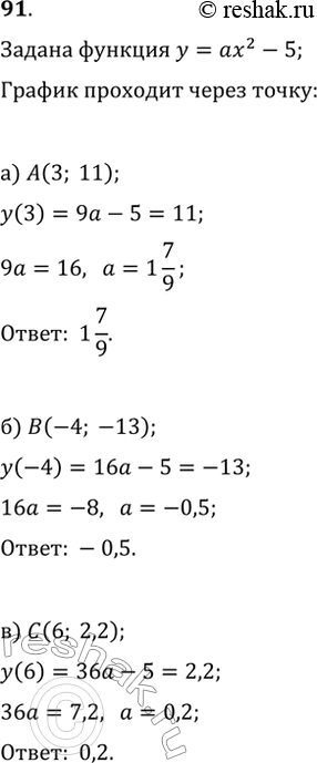
91. При каком значении а график функции y=ax^2-5 проходит через точку:
а) A(3; 11); б) B(-4; -13); в) C(6; 2,2)?
*размещая тексты в комментариях ниже, вы автоматически соглашаетесь с пользовательским соглашением