Упр.11.3 ГДЗ Мордковича 11 класс профильный уровень (Алгебра)
Решение #1
Решение #2(записки учителя)
Решение #3(записки школьника)

Рассмотрим вариант решения задания из учебника Мордкович, Семенов 11 класс, Мнемозина:
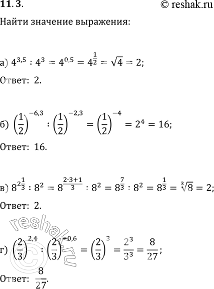
11.3 а) 4^3,5:4^3;
б)(1/2)-6,3 : (1/2)-2,3;
в)8^ 2 1/3 : 8^2;
г)(2/3)^2,4 : (2/3)-0,6.
*размещая тексты в комментариях ниже, вы автоматически соглашаетесь с пользовательским соглашением