Упр.20.11 ГДЗ Мордковича 11 класс профильный уровень (Алгебра)
Решение #1
Решение #2(записки учителя)
Решение #3(записки школьника)

Рассмотрим вариант решения задания из учебника Мордкович, Семенов 11 класс, Мнемозина:
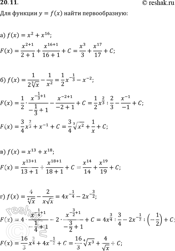
Для функции y=f(x) найдите первообразную:
20.11 а)f(x)=x2+x16;
б)f(x)=1/2 корень x -1/x2;
в)f(x)=x13+x18;
г)f(x)=4/корень 4 степени x - 2/x корень x.
*размещая тексты в комментариях ниже, вы автоматически соглашаетесь с пользовательским соглашением