Упр.20.5 ГДЗ Мордковича 11 класс профильный уровень (Алгебра)
Решение #1
Решение #2(записки учителя)
Решение #3(записки школьника)

Рассмотрим вариант решения задания из учебника Мордкович, Семенов 11 класс, Мнемозина:
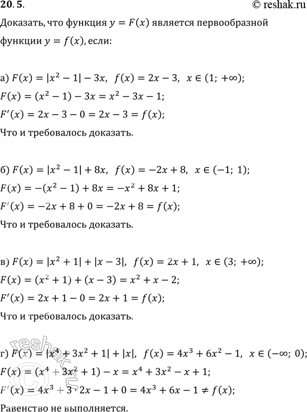
20.5 а)F(x) = |x2-1| - 3x, f(x)=2x-3, x принадлежит (1;+ бесконечность);
б)F(x) = |x2-1| + 8x, f(x)=-2x + 8, x принадлежит (-1;1);
в)F(x) = |x2+1| + |x-3|, f(x)=2x+1, x принадлежит (3; + бесконечность);
г)F(x)=|x4+3x2+1|+|x|, f(x)=4x3 + 6x2-1, x принадлежит (- бесконечность;0).
*размещая тексты в комментариях ниже, вы автоматически соглашаетесь с пользовательским соглашением